To calculate room air changes, measure the supply airflow into a room, multiply the CFM times 60 minutes per hour. Then divide by the volume of the room in cubic feet:
![]()
In plain English, we’re changing CFM into Cubic Feet per Hour (CFH). Then we calculate the volume of the room by multiplying the room height times the width times the length. Then we simply divide the CFH by the volume of the room.
Here’s an example of how a full formula works:
Now, compare 7.5 air changes per hour to the required air changes for that type of room on the Air Changes per Hour Table below. If it’s a lunch or break room that requires 7-8 air changes per hour, you’re right on target. If it’s a bar that needs 15-20 air changes per hour, it’s time to reconsider.

Room CFM Formula
Let’s look at this engineering formula differently. For example, what if the airflow is unknown and you need to calculate the required CFM for a room? Here is a four-step process on how to calculate the room CFM:
Step One – Use the above Air Changes per Hour Table to identify the required air changes needed for the use of the room. Let’s say it’s a conference room requiring 10 air changes per hour.
Step Two - Calculate the volume of the room (L’xW’xH’).
Step Three - Multiply the volume of the room by the required room air changes.
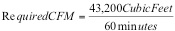
Step Four Divide the answer by 60 minutes per Hour to find the required room CFM:
![]()
Here’s an example of how to work the formula:
![]()
![]()
![]()

